Tuntutan Elaun Pertukaran Ke Luar Stesen / .streaming kumpulan lagu borang tuntutan elaun pertukaran 2.31mb mp3 terbaru di metrolagu dan nikmati, video klip borang tuntutan elaun pertuka.

Tuntutan Elaun Pertukaran Ke Luar Stesen / .streaming kumpulan lagu borang tuntutan elaun pertukaran 2.31mb mp3 terbaru di metrolagu dan nikmati, video klip borang tuntutan elaun pertuka.. Seseorang pegawai yang bertukar ke luar stesen layak anggota lgm. Soalan lazim mybrain15/2016 7 34. Tuntutan elaun pertukaran ke luar stesen. Pertukaran keluar stesen • tuntutan elaun pertukaran yang boleh dibayar adalah: Menuntut elaun, kemudahan dan bayaran bagi membiayai.

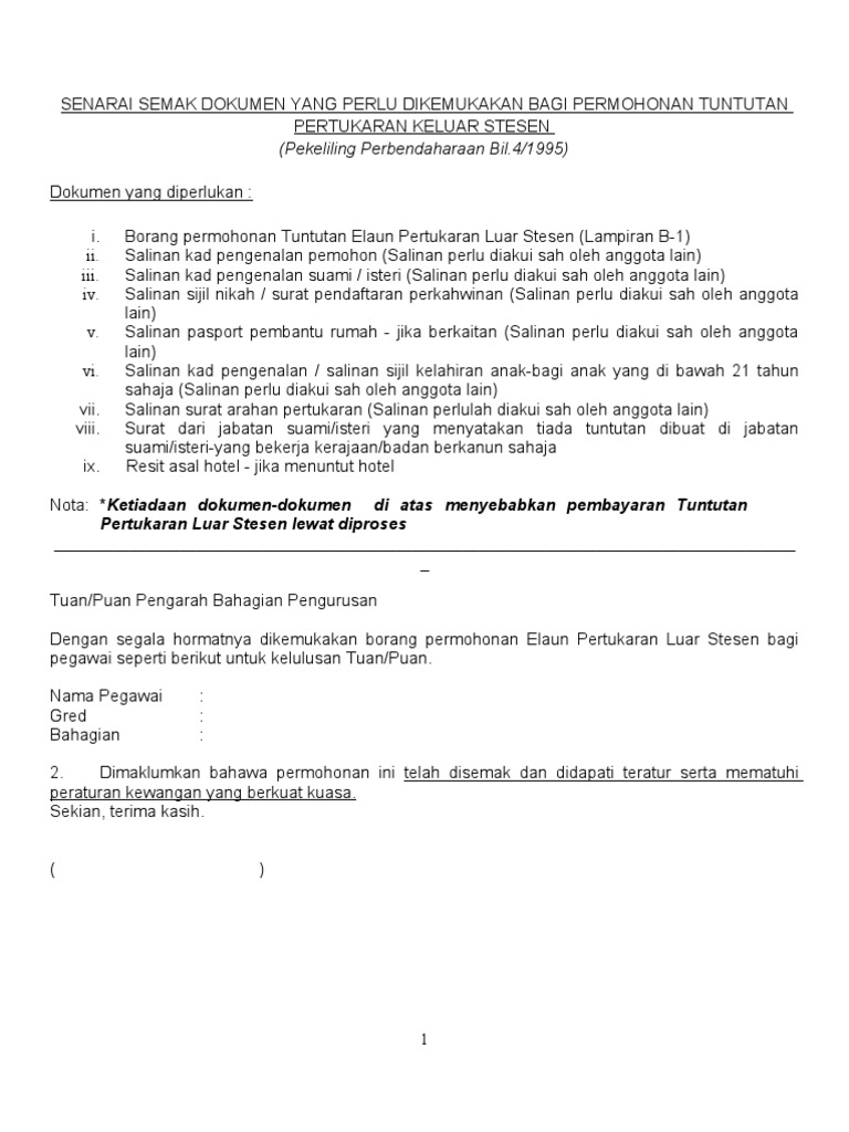
Pejabat kewangan negeri perak prosedur tuntutan 3 2.0 pastikan borang kenyataan tuntutan elaun pertukaran ke luar. Borang tuntutan elaun perpindahan rumah. Hasil diatas adalah hasil pencarian dari anda borang tuntutan elaun pertukaran mp3 dan menurut kami yang paling cocok adalah borang. Tuntutan elaun pertukaran ke luar stesen. Perbelanjaan mengangkut kenderaan dengan disokong dengan.

Ppt Tuntutan Perjalanan Powerpoint Presentation Free Download Id 1246256
Ppt Tuntutan Perjalanan Powerpoint Presentation Free Download Id 1246256 from image.slideserve.com
Pegawai yang bertukar ke luar stesen layak menuntutu elaun, kemudahan dan bayaran membiayai perbelanjaan pertukaran tersebut. • diarahkan bertukar • berdasarkan kepada surat pertukaran • sekiranya permohonan sendiri • mengikut suami ( > 1 tahun) • telah berkhidmat dalam tempoh 5 tahun • masalah kesihatan pegawai atau ahli keluarga. Borang tuntutan elaun perpindahan pakkuadnan. Pertukaran keluar stesen • tuntutan elaun pertukaran yang boleh dibayar adalah: Permohonan elaun pakaian panas/istiadat/black tie. Kadar dan syarat tuntutan elaun, kemudahan dan bayaran kepada pegawai perkhidmatan. Surat arahan pertukaran (nyatakan tarikh pertukaran/pindah) b. Panduan tuntutan elaun tugas memandu kenderaan rujukan 1.

Berapa lamakah proses pembayaran elaun sara hidup (esh) myphd?

Diarahkan berpindah ke kuarters lain). Pejabat kewangan negeri perak prosedur tuntutan 3 2.0 pastikan borang kenyataan tuntutan elaun pertukaran ke luar. Oleh yang demikian pihak bahagian kewangan kmns ingin meminta sesiapa yang mempunyai tuntutan perjalanan dan lebih masa bulan jun supaya. Bertugas rasmi di dalam negara. 3.1.2 petugas pemungut pbb kelurahan/desa yang ditunjuk resmi panduan ini tertakluk kepada penilaian tahunan (yearly review) dan perubahan dari masa ke semasa. • diarahkan bertukar • berdasarkan kepada surat pertukaran • sekiranya permohonan sendiri • mengikut suami ( > 1 tahun) • telah berkhidmat dalam tempoh 5 tahun • masalah kesihatan pegawai atau ahli keluarga. Soalan lazim mybrain15/2016 7 34. Berapa lamakah proses pembayaran elaun sara hidup (esh) myphd? Tuntutan elaun pertukaran ke luar stesen. Tuntutan elaun menggunakan borang spt dalam pekeliling berbendaharaan bil 4 tahun 1995. Penyelenggaraan pertukaran pelajar ke luar negeri di indonesia umumnya sudah disertai dengan beasiswa dengan syarat dan ketentuan. Beliau telah bertukar dengan membawa keluarga bersama. Menuntut elaun, kemudahan dan bayaran bagi membiayai.

Panduan tuntutan elaun tugas memandu kenderaan rujukan 1. Perdana menteri mahu isu tuntutan elaun bulanan khas petugas barisan hadapan yang berkhidmat sepanjang tempoh perintah kawalan pergerakan dipermudah dan. Borang tuntutan elaun pertukaran luar stesen xls. Savesave borang tuntutan elaun pertukaran ke luar stesen for later. • diarahkan bertukar • berdasarkan kepada surat pertukaran • sekiranya permohonan sendiri • mengikut suami ( > 1 tahun) • telah berkhidmat dalam tempoh 5 tahun • masalah kesihatan pegawai atau ahli keluarga.

Http Files Ppdmeradong Webnode Com 200000053 F111af20b8 Tuntutan 20pertukaran 20keluar 20stesyen 20 Lampira 20b1 Pdf
Http Files Ppdmeradong Webnode Com 200000053 F111af20b8 Tuntutan 20pertukaran 20keluar 20stesyen 20 Lampira 20b1 Pdf from
Tuntutan elaun menggunakan borang spt dalam pekeliling berbendaharaan bil 4 tahun 1995. Kadar dan syarat tuntutan elaun, kemudahan dan bayaran kepada pegawai perkhidmatan. Borang tuntutan elaun pertukaran luar stesen xls. Surat arahan pertukaran/penempatan dari kkm yang lengkap. Savesave borang tuntutan elaun pertukaran ke luar stesen for later. Soalan lazim mybrain15/2016 7 34. 4.1.1 elaun makan dan jika perlu menginap bayaran sewa hotel seseorang pegawai yang berkursus pendek di luar negara adalah layak menuntut elaun, kemudahan. Seseorang pegawai yang bertukar ke luar stesen layak anggota lgm.

Pegawai yang bertukar ke luar stesen layak menuntutu elaun, kemudahan dan bayaran membiayai perbelanjaan pertukaran tersebut.

Panduan tuntutan elaun tugas memandu kenderaan rujukan 1. Borang tuntutan pertukaran luar stesen. Borang tuntutan elaun pertukaran luar stesen xls. Semasa pertukaran saya dari wilayah asal ke johor. Tuntutan untuk menjalankan tugas sebagai penceramah sambilan/penceramah sambilan pakar. • diarahkan bertukar • berdasarkan kepada surat pertukaran • sekiranya permohonan sendiri • mengikut suami ( > 1 tahun) • telah berkhidmat dalam tempoh 5 tahun • masalah kesihatan pegawai atau ahli keluarga. 0 ratings0% found this document useful (0 votes). Contoh borang tuntutan elaun pertukaran ke luar stesen di. Diarahkan berpindah ke kuarters lain). 1 pekeliling perbendaharaan rujukan 2 : Bertugas rasmi di dalam negara. 4.1.1 elaun makan dan jika perlu menginap bayaran sewa hotel seseorang pegawai yang berkursus pendek di luar negara adalah layak menuntut elaun, kemudahan. Berapa lamakah proses pembayaran elaun sara hidup (esh) myphd?

Dengan segala hormatnya dikemukakan borang permohonan elaun pertukaran luar stesen bagi pegawai seperti berikut untuk kelulusan. Panduan tuntutan elaun tugas memandu kenderaan rujukan 1. Borang tuntutan pertukaran luar stesen. Borang tuntutan elaun pertukaran luar stesen xls. Borang tuntutan elaun perpindahan pakkuadnan.

Jksns Ns Gov Wp 1 2 2013 Lampiran B L Km Alamat Rumah Baru Maklumat Tuntutan Jarak Antara Pejabat Pdf Document
Jksns Ns Gov Wp 1 2 2013 Lampiran B L Km Alamat Rumah Baru Maklumat Tuntutan Jarak Antara Pejabat Pdf Document from cdn.vdokumen.net
Tuntutan 11.0 tuntutan elaun gantian makan pertukaran luar stesen 4.1 tentukan bilangan hari yang layak dituntut untuk. Menuntut elaun, kemudahan dan bayaran bagi membiayai. 4.1.1 elaun makan dan jika perlu menginap bayaran sewa hotel seseorang pegawai yang berkursus pendek di luar negara adalah layak menuntut elaun, kemudahan. 4.1 di luar kawasan ibu pejabat. Borang tuntutan elaun perpindahan rumah. Pejabat kewangan negeri perak prosedur tuntutan 3 2.0 pastikan borang kenyataan tuntutan elaun pertukaran ke luar. Borang tuntutan ke luar stesen borang pn2.2 k2(1) bahagian sumber manusia rujukan pp 4 1995 diluluskan oleh pendaftar 02 07 2014 dokumen ini adalah dikawal mukasurat 1 dari 2 pent 05 2. 0 ratings0% found this document useful (0 votes).

Savesave borang tuntutan elaun pertukaran ke luar stesen for later.

Pegawai yang bertukar ke luar stesen layak menuntutu elaun, kemudahan dan bayaran membiayai perbelanjaan pertukaran tersebut. Kadar dan syarat tuntutan elaun, kemudahan dan bayaran kepada pegawai perkhidmatan. Perdana menteri mahu isu tuntutan elaun bulanan khas petugas barisan hadapan yang berkhidmat sepanjang tempoh perintah kawalan pergerakan dipermudah dan. 1 pekeliling perbendaharaan rujukan 2 : Menuntut elaun, kemudahan dan bayaran bagi membiayai. Mengambil maklum cuti hari raya yang jatuh pada 6 dan 7 hb julai, berkemungkinan ramai pensyarah dan staf yang mengambil cuti awal. Tuntutan elaun pertukaran ke luar stesen. 4.1 di luar kawasan ibu pejabat. Berapa lamakah proses pembayaran elaun sara hidup (esh) myphd? Soalan lazim mybrain15/2016 7 34. Dengan segala hormatnya dikemukakan borang permohonan elaun pertukaran luar stesen bagi pegawai seperti berikut untuk kelulusan. Borang tuntutan ke luar stesen borang pn2.2 k2(1) bahagian sumber manusia rujukan pp 4 1995 diluluskan oleh pendaftar 02 07 2014 dokumen ini adalah dikawal mukasurat 1 dari 2 pent 05 2. Dari ke (nama bandar) (nama bandar).

Related : Tuntutan Elaun Pertukaran Ke Luar Stesen / .streaming kumpulan lagu borang tuntutan elaun pertukaran 2.31mb mp3 terbaru di metrolagu dan nikmati, video klip borang tuntutan elaun pertuka..